1674 字
8 分钟
【C语言进阶】02 - 链表

一、可变数组#

编写可变数组函数库

  • 创建数组
  • 回收数组
  • 获取数组中单元个数
  • 访问数组中的某个单元
  • 增长数组长度

定义Array结构体:

定义为指针类型的结构体,似乎可以简化某些函数的调用传递参数,节省内存空间?

#ifndef ARRAY_H
#define ARRAY_H
typedef struct{
int *array;
int size;
}*Array;
#endif

但是,当我们在函数内部创建变量的时候,这个时候a指向的是已经存在的内存空间。

void test()
{
Array a;
}

所以,一般情况下,定义结构体变量不要加*,不要定义指针类型

#ifndef ARRAY_H
#define ARRAY_H
typedef struct{
int *array;
int size;
}Array;
Array array_create(int init_size);
void array_free(Array *a);
int array_size(const Array *a);
int* array_at(Array *a,int index);
void array_inflate(Array *a,int more_size);
#endif

函数实现:

创建可变数组

思考:为什么不返回指针?

  • 本地变量在函数使用后会销毁
Array array_create(int init_size)
{
Array a;//创建本地变量
a.size = init_size;
a.array = (int*)malloc(sizeof(int)*a.size);
return a;
}

释放数组空间

void array_free(Array *a)
{
free(a->array);
a->array = Null;//防止重复调用,free(Null)是无害操作
a->size = 0;
}

获取数组大小

思考:为什么不直接a.size获取大小?

  • 目的:封装,保护了a的size,防止被修改,也利于后期维护
int array_size(const Array *a)
{
return a->size;
}

获取数组中对应元素的位置

思考:为什么要返回int类型指针而不直接返回int

  • 使用array_at(&a,0)取地址
  • 使用*array_at(&a,0)=10;可以直接进行赋值操作

当然,也可以重新编写array_set,array_get两个函数,分别用于赋值和取值

int* array_at(Array *a,int index)
{
return &(a->array[index]);
}

增长数组空间

void array_inflate(Array *a,int more_size)
{
int*p = (int*)malloc(sizeof((int)*(a->size+more_size));//定义缓存指针,申请more_size个内存空间
int i;
for(i=0;i<a->size;i++){
p[i]=a->array[i];//将array原本的内存空间中的值赋给p
}
free(a->array);//释放内存空间
a->array = p;//将p值还原给a
a->size += more_size;//增大a的size大小
}

不断写入数组内容

一直循环下去,总会出现数组越界的情况。

于是,继续修改array_at

引入block概念

二、 可变数组的缺陷#

  • 拷贝时间开销大
  • 在内存受限的情况下,可能难以申请到更大的内存空间

解决方案:
不去修改原来的内存空间,链接1个block即可拓展数组长度

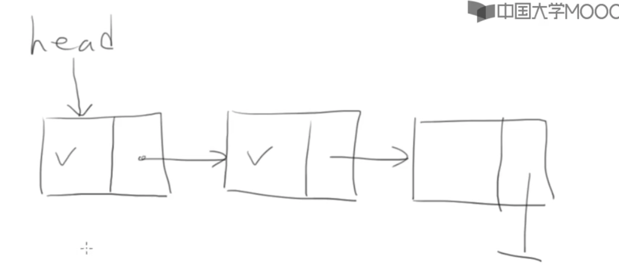
三、链表#

链表中的元素簇称为“节点”

每个节点仅包含两个部分:

  • 数据
  • 指向下一个节点的指针

typedef struct _node{
int value;
struct _node next;
}Node;

思考:为什么不用:

struct Node next;

因为在这一行还没有执行Node的类型重定义,编译器无法识别。

使用struct _node{

}定义了struct _node类型的结构体

使用typedef … Node重定义了struct _node类型

程序:循环输入数字,如果为-1则退出,

1. 定义head#

Node *head = Null;

2.定义第一个节点#

Node *p = (Node*)malloc(sizeof(Node));
p->value = number;
p->next = Null;

3. 定义last#

Node *last = head;
while(last -> next)
{
last = last -> next;
}
last->next = p;

4. 链表函数——添加节点#

实现一个创建节点的函数:

缺点:函数内部对head进行改变,但是并不影响外部的head(PS:这里的head为指针)

tips:尽量少用全局变量

void add(Node* head,int number)
{
//add to linked-list
Node *p = (Node*)malloc(sizeof(Node));
p->value = number;
p->next = NULL;
//find the last
Node *last = head;
if(last){//如果last指向非空
while(last->next){//last的nest指向非空
last = last->next;//last等于last指向的next
}
// attach
last->next = p;//last指向的next等于p
}else{
head = p;//修改head
}
}

| |

| |

/

修改程序

Node* add(Node* head,int number)
{
//add to linked-list
Node *p = (Node*)malloc(sizeof(Node));
p->value = number;
p->next = NULL;
//find the last
Node *last = head;
if(last){//如果last指向非空
while(last->next){//last的nest指向非空
last = last->next;//last等于last指向的next
}
// attach
last->next = p;//last指向的next等于p
}else{
head = p;//修改head
}
return head; // <================= 将head返回出去
}

在主程序中,即可实现改变head的操作,但是这也存在一个缺点,如果忘记调用head = …,程序会报错,封装还不够完美

head = add(...);

| |

| |

/

第三种方案,传head改为传递head的指针(实际上是指针的指针)

tips:数据结构

实际上,现在这个函数,return返回值,以及主程序中的赋值都可以不进行,提高了程序的易用性,根本原因是因为pHead是head的指针,即指针的指针

Node* add(Node** pHead,int number)
{
//add to linked-list
Node *p = (Node*)malloc(sizeof(Node));
p->value = number;
p->next = NULL;
//find the last
Node *last = *pHead;
if(last){//如果last指向非空
while(last->next){//last的nest指向非空
last = last->next;//last等于last指向的next
}
// attach
last->next = p;//last指向的next等于p
}else{
*pHead = p;//修改head
}
return *pHead;
}

| |

| |

/

第四种方案 ,添加一个List类型结构体

typedef struct _list{
Node *head;
}List;

这样,函数可以改写为

void add(List *plist,int number)
{
//add to linked-list
Node *p = (Node*)malloc(sizeof(Node));
p->value = number;
p->next = NULL;
//find the last
Node *last = plist->head;
if(last){//如果last指向非空
while(last->next){//last的nest指向非空
last = last->next;//last等于last指向的next
}
// attach
last->next = p;//last指向的next等于p
}else{
plist->head = p;//修改head
}
}

思考:调用这个函数,last每次都要从head开始指向,执行了没有必要的操作,如何让函数执行完之后,last指向保持上一次的指向?

| |

| |

/

typedef struct _list{
Node *head;
Node *tail;
}List;

实现:

List 结构体中添加一个指向链表尾节点的指针 tail,然后每次添加节点时,直接更新 tail 的指向。这样可以避免每次都从头开始遍历链表,优化了插入操作的效率。

修改后的代码示例#

  1. 修改 List 结构体:添加一个 tail 指针,指向链表的最后一个节点。
  2. 修改 add 函数:在每次添加新节点时,直接更新 tail 指针。
void add(List *plist,int number)
{
//add to linked-list
Node *p = (Node*)malloc(sizeof(Node));
p->value = number;
p->next = NULL;
//find the last
if(plist->tail){//如果尾节点存在
plist->tail->next = p;//尾节点的next指向新节点
}else{
plist->head = p;//头节点指向新节点
}
plist->tail = p; // 更新 tail 为新添加的节点
}

这种方式通过维护一个指向尾节点的指针,可以避免每次添加节点都从头遍历,优化了链表操作的效率。

5. 链表函数——打印#

void print(List *list){
Node *p;
for(p=list->head;p;p=p->next){
printf("%d\t",p->value);
printf("\n");
}
}

6. 链表函数——删除#

7. 链表函数——清除#

void clear(List *plist) {
Node *current = plist->head;
Node *nextNode;
while (current != NULL) {
nextNode = current->next; // 保存下一个节点
free(current); // 释放当前节点
current = nextNode; // 移动到下一个节点
}
plist->head = NULL; // 清空头指针
plist->tail = NULL; // 清空尾指针
}
【C语言进阶】02 - 链表
http://www.turinblog.cn/posts/c语言进阶02---链表/
作者
Szturin
发布于
2024-09-16
许可协议
CC BY-NC-SA 4.0